歡迎來到杭州仰儀科技有限公司網站!

前言
在能源轉型的大潮中,鋰離子電池作為新能源汽車及電力儲能的核心,發揮著重要作用。隨著國內外需求市場的蓬勃發展,鋰電池行業獲得高速增長,同時也對電芯的安全性提出越來越高的要求,其中電芯在各種濫用條件下(如過充、過放、短路、高溫或物理損傷)極可能引發熱失控問題,一直是行業關注并研究的核心。為了有效預防鋰電池安全事故,研究人員必須深入研究其熱特性,精確獲取熱安全和熱管理參數,為設計相應的防護措施與預警系統提供參考依據。在這一過程中,電池絕熱量熱儀(ARC)是研究鋰電池單體熱安全和熱管理參數的主要儀器。
隨著鋰電池行業的發展,電芯朝著大尺寸、大容量和高比能量的趨勢發展,這對ARC提出了更高的要求。傳統電池ARC因腔體體積小、抗爆性/耐壓性不足、不兼容熱失控產熱和產氣過程同步分析等缺點,已無法滿足大尺寸刀片電池、大容量高鎳三元電池和鋰金屬全固態電池等未來主流電池的測試需求。因此仰儀科技從市場需求出發,針對現有電池絕熱量熱儀不足,于2023年推出了密閉型電池絕熱量熱儀這一全新的絕熱技術路線。
儀器介紹
密閉型電池絕熱量熱儀通過智能算法優化,保障了高效、精確的控溫性能;通過整機結構升級,實現了量熱腔抗爆能力與密封能力的大幅提升。本文將以BAC-800B大型電池絕熱量熱儀為例,詳細介紹密閉型電池絕熱量熱的功能。

圖1 BAC-800B大型電池絕熱量熱儀
產品特點:
01
全尺寸設計,chao強測試能力
支持長邊尺寸不超過900mm的電芯測試,并擁有從26650到1000Ah LPF測試案例,能夠滿足市面上絕大部分電池測試需求。可同步獲得溫度及壓力數據,彌補泄壓型絕熱不足;
02
模塊化設計,經濟且高效
除基礎絕熱量熱模塊外,儀器還可選配針刺、視頻監控、比熱容測試、氣氛模擬及低溫制冷等功能模塊,客戶可根據自身需求自由組合;
03
密閉型設計,安全無憂
密閉型容器設計,符合GB/150壓力容器設計規范,承壓2MPa,wan全隔絕電池熱失控危害;
04
多次校準,數據精準可靠
儀器出廠前進行du創的整機校準,電池實驗前通過溫差基線校準、二次校正等多重校準方法確保實驗結果準確性;
05
多管齊下,實驗高效
通過輔助加熱絲溫差基線、蓋壁底溫度超調等方式縮短實驗時間,大大提升實驗效率;
06
人性化設計,軟件操作便捷
軟件采用全中文界面,布局符合用戶操作習慣,集成選配模塊多項操作功能,大幅降低操作復雜度。分析界面簡潔直觀,關鍵數據一鍵分析。

圖2 操作軟件(左)和數據分析軟件(右)
設備功能及測試參數:
1.絕熱熱失控(HWS)測試功能
通過經典HWS實驗模式,通過加熱-等待-搜尋的臺階溫升對電池樣品進行升溫,并在到達自放熱起始溫度T1后進行絕熱追蹤,進而獲得包括熱失控起始溫度T2、熱失控最高溫度T3在內的多個熱特征參數。
BAC-800B采用密閉型設計,能夠在進行絕熱熱失控實驗的同時,進行壓力數據的同步采集,計算產氣速率及產氣量等數據,并可對熱失控過程中的產氣進行在線或離線檢測,以分析電池熱失控過程中的產氣成分及燃爆特性,助力電池熱失控預警研究或電池熱失控安全防護設計。
BAC-800B搭配的輔助模塊可對熱失控過程進行quan方位監控。搭配多通道數據記錄儀,同步記錄電芯不同位置的溫度分布以及電池電壓;搭配可見光相機,可以檢測電芯鼓包、開閥泄壓等現象;搭配紅外相機可以全面監測電芯表面溫度分布。

圖3 HWS絕熱熱失控裝樣

圖4 可見光相機(左)、終端集成柜(右,集成多通道數據記錄儀、可編程電源和中控箱)

圖5 HWS實驗結果
2.過充熱失控測試功能
搭配電池充放電設備,通過爐壁上的電極柱與電池進行連接,按工況要求對電池進行過充。該測試利用充放電產熱模式進行實驗,對電池溫度變化進行絕熱追蹤,獲得電池的過充熱失控特征參數。同理,該功能可以搭配儀器的多參數監測功能,并研究熱失控產氣過程。

圖6 過充熱失控裝樣

圖7 電池絕熱量熱儀連接電池充放電設備儀

圖8 過充熱失控實驗結果溫升曲線
3.針刺熱失控測試功能
使用標配的針刺電機,可以通過對電芯進行針刺而使電芯發生熱失控,以研究電芯熱失控特性。同理,該功能可以搭配多參數監測功能,并研究其熱失控產氣過程。

圖9 針刺熱失控電池裝樣

圖10 儀器裝上針刺電機

圖11 針刺熱失控實驗結果溫升曲線
4.比熱容測試功能
如圖16,基于差示絕熱追蹤原理,通過已知比熱容的標準塊進行散熱校正,計算得到電池比熱容數據。通過外接可編程電源(圖13)與加熱片進行實驗,能夠獲得電池在一定溫度范圍下的平均比熱容與變溫比熱容數據。

圖12 比熱容實驗鋁塊裝樣

圖13 比熱容實驗連接示意圖
通過儀器配置的低溫模塊,可將比熱容測試下限降低至-25℃。

圖14 低溫模塊

圖15 低溫模塊連接

圖16 比熱容實驗結果溫升曲線

圖17 比熱容實驗結果變溫比熱容曲線
5.充放電產熱測試功能
如圖20,通過絕熱追蹤原理,可以測試得到電池在充放電過程中的產熱量及產熱功率等數據。
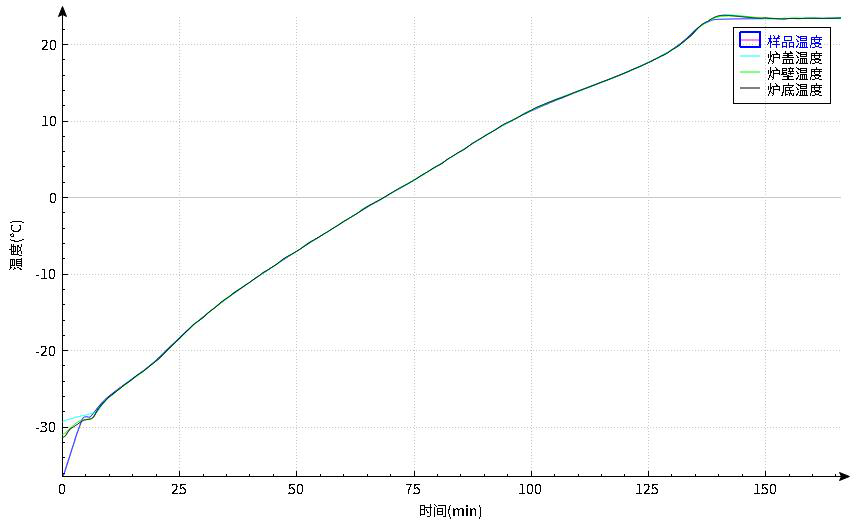
同樣通過儀器配置的低溫模塊(圖14),可將比熱容測試擴展至-25℃。搭配接觸式或非接觸式溫度監測功能,可研究充放電產熱時電芯表面溫度分布。

圖18 充放電產熱測試電池裝樣

圖19 低溫充放電產熱測試連接充放電設備和低溫模塊

圖20 低溫充放電產熱實驗結果溫升曲線

圖21 低溫充放電產熱實驗結果產熱功率曲線
6.絕熱溫升測試功能
如圖22,該功能符合GB/T 36276-2023《電力儲能用鋰離子電池》的絕熱溫升實驗要求,裝樣方法如圖3。
同時,該功能可以搭配可見光相機檢測電芯在實驗過程中是否發生鼓包、開裂、泄壓和著火等。

圖22 絕熱溫升實驗結果溫升曲線
總結
密閉型大型電池絕熱量儀以安全可靠的性能、豐富完善的功能為日益蓬勃發展的鋰電池行業提供熱安全和熱管理方面的有力支撐。